- Home
- टॉप न्यूज़
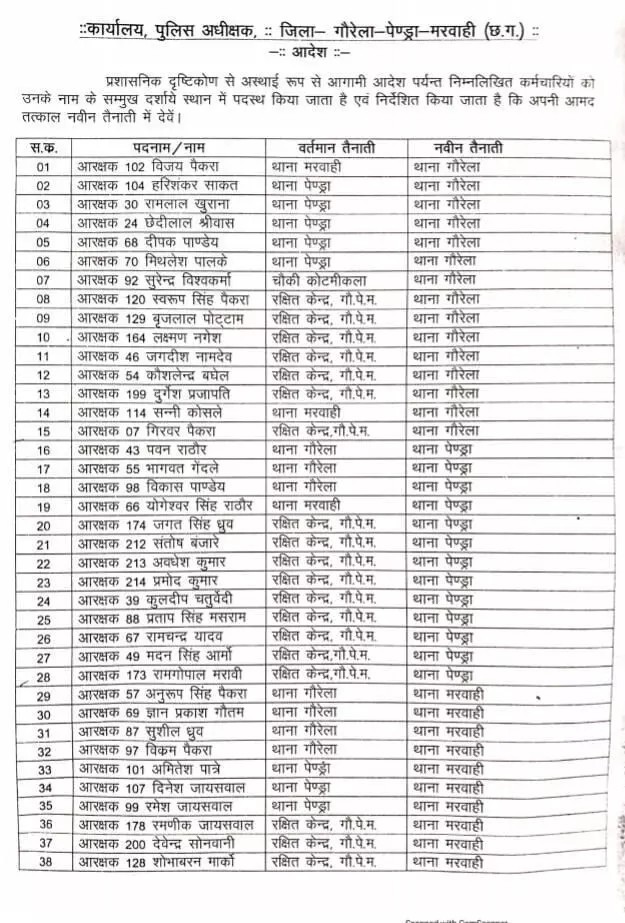
- गौरेला, पेण्ड्रा, मरवाही : पुलिस विभाग में 75 पुलिसकर्मियों का किया गया तबादला, देखे सूची…
गौरेला, पेण्ड्रा, मरवाही : पुलिस विभाग में 75 पुलिसकर्मियों का किया गया तबादला, देखे सूची…
28 Jul 2021
, by: Vikash Kumar
गौरेला, पेण्ड्रा, मरवाही जिले में बड़े पैमाने पर पुलिस विभाग में फेरबदल किया है। एक साथ 75 पुलिसकर्मियों का एक साथ तबादला हुआ। पुलिस अधाीक्षक त्रिलोक बंसल ने तबादला का आदेश जारी किया है। देखे सूची...
About Babuaa
Categories
Contact
0771 403 1313
786 9098 330
babuaa.com@gmail.com
Baijnath Para, Raipur
© Copyright 2019 Babuaa.com All Rights Reserved. Design by: TWS
